Calculations with quantities
The units are part of the calculation, you can't expect to add them as an afterthought and get the right answer.
Addition and subtraction
You can only add or subtract quantities with the same units.
Beware mixing J and kJ, calculations frequently give energies of different terms in different units and they must be expressed in the same units before adding.
Example: The heat required to vaporise 1.000 g of water to steam at 100°C and then heat the steam to 110°C is
2.280 kJ + 20 J. These must both be converted to the same units before adding,
i.e. 2280 J + 20 J = 2300 J, or 2.280 kJ + 0.020 kJ = 2.300 kJ.
This error is very frequently made by students (and doctors - beware!)
Multiplication and division
When you multiply or divide, the units multiply and divide with the quantities.
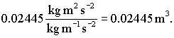
Example: Calculate the volume of 1.00 mol of gas at 298 K and 1 atm using the ideal gas law, V = nRT/P.

converting Pa to base units this becomes

Logs. exponentials and other functions
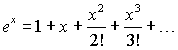
The arguments of logs, exponentials and other functions that may be expanded as power series may only be dimensionless numbers.
For example

and so x must be a dimensionless number or else each term in the power expansion would have different units.
This property can be useful, for example in the integrated rate equation
![]()